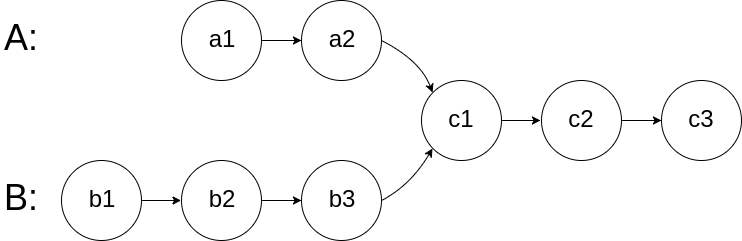
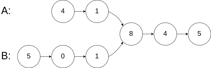
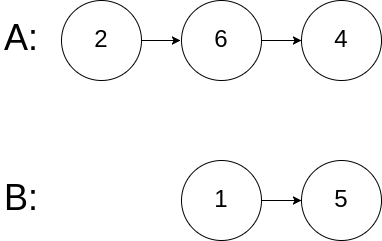
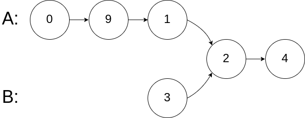
DateAug 2, 2023need_reviewtype剑指 Offer(第 2 版)undo难度简单 输入两个链表,找出它们的第一个公共节点。如下面的两个链表:在节点 c1 开始相交。示例 1:示例 2:示例 3:注意:如果两个链表没有交点,返回 null.在返回结果后,两个链表仍须保持原有的结构。可假定整个链表结构中没有循环。程序尽量满足 O(n) 时间复杂度,且仅用 O(1) 内存。本题与主站 160 题相同:https://leetcode-cn.com/problems/intersection-of-two-linked-lists/解法1力扣https://leetcode.cn/problems/liang-ge-lian-biao-de-di-yi-ge-gong-gong-jie-dian-lcof/solutions/627084/jian-zhi-offer-52-liang-ge-lian-biao-de-gcruu/?envType=featured-list&envId=xb9nqhhg双指针遍历