Date
Aug 6, 2023
need_review
need_review
type
undo
难度
中等
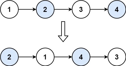
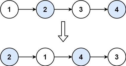
给你一个链表,两两交换其中相邻的节点,并返回交换后链表的头节点。你必须在不修改节点内部的值的情况下完成本题(即,只能进行节点交换)。
示例 1:

示例 2:
示例 3:
提示:
- 链表中节点的数目在范围
[0, 100]内
0 <= Node.val <= 100
解法1
递归 空间复杂度
解法2
迭代 空间复杂度
涉及到4格, 需要在开头加一个空节点用于定位


[0, 100] 内0 <= Node.val <= 100