Date
Aug 20, 2023
need_review
type
undo
难度
简单
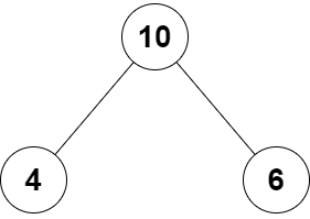
给你一个 二叉树 的根结点
root,该二叉树由恰好 3 个结点组成:根结点、左子结点和右子结点。如果根结点值等于两个子结点值之和,返回
true ,否则返回 false 。示例 1:

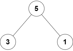
示例 2:

提示:
- 树只包含根结点、左子结点和右子结点
100 <= Node.val <= 100
解法1
只有3个节点, 直接相加判断即可

扩展到多个节点的话
递归