Date
Aug 14, 2023
need_review
need_review
type
undo
难度
简单
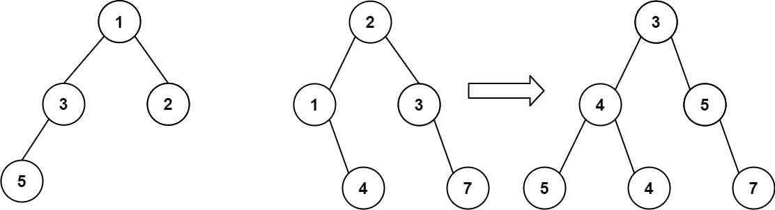
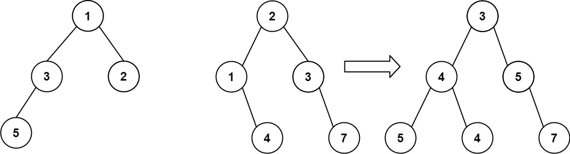
给你两棵二叉树:
root1 和 root2 。想象一下,当你将其中一棵覆盖到另一棵之上时,两棵树上的一些节点将会重叠(而另一些不会)。你需要将这两棵树合并成一棵新二叉树。合并的规则是:如果两个节点重叠,那么将这两个节点的值相加作为合并后节点的新值;否则,不为 null 的节点将直接作为新二叉树的节点。
返回合并后的二叉树。
注意: 合并过程必须从两个树的根节点开始。
示例 1:

示例 2:
提示:
- 两棵树中的节点数目在范围
[0, 2000]内
104<= Node.val <= 104
解法1
进行前序遍历(递归), 两个树都有节点就相加, 只有一个有就接上去
二叉树的原理规定了, 如果一个子树是None, 那么它的子树都是None
额外开一个节点作为树的根节点
