Date
Jul 26, 2023
need_review
need_review
type
剑指 Offer(第 2 版)
undo
难度
中等
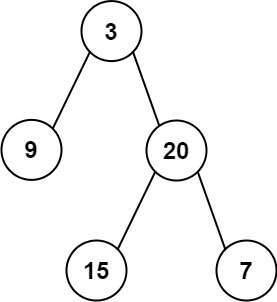
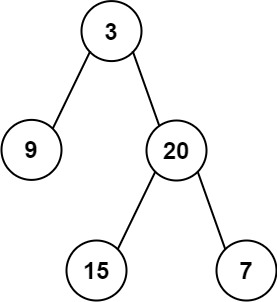
输入某二叉树的前序遍历和中序遍历的结果,请构建该二叉树并返回其根节点。
假设输入的前序遍历和中序遍历的结果中都不含重复的数字。
示例 1:

示例 2:
限制:
0 <= 节点个数 <= 5000解法1 注意是无重复节点
前序遍历 [ 根节点 | 左子树 | 右子树 ]
中序遍历 [ 左子树 | 根节点 | 右子树 ]

解法2 直接递归
- 缺点: 有pop(0)所以列表每次都要重建一遍. 花费更多的性能
